How many regular polygons are constructible? In other words, how many regular polygons can be drawn in a finite number of steps using just a compass and an unmarked straightedge?
Since the time of Euclid, geometers knew how to construct the equilateral triangle, the square, and the regular pentagon.



They also knew how to construct the regular fifteen-sided polygon, or pentadecagon, by constructing an equilateral triangle and a regular pentagon inscribed in the same circle and sharing a vertex, and they knew how to double the number of sides of a regular polygon inscribed in a circle by bisecting the arcs between its vertices.


This doubling technique can be used any number of times on the triangle, square, pentagon, and pentadecagon to generate an infinite number of regular polygons with nothing but a compass and straightedge. But this still leaves an infinite number of regular polygons that mathematicians couldn’t construct like the heptagon and the enneagon, and for over 2,000 years, it wasn’t known if any of these left-out polygons were constructible at all. That all changed in 1796 when a teenage Carl Friedrich Gauss proved the constructibility of the regular seventeen-sided polygon, or heptadecagon. But how did he do this?
The Constructible Numbers
Before I get into Gauss’s proof, I must first explain what it means for numbers to be constructible. A real number, let’s call it , is considered constructible if and only if, given just a line segment with length
, a line segment with length
is constructible. For example,
is a constructible number because a right triangle whose legs are of unit length can be constructed, and its hypotenuse will have a length of
.

It’ll be helpful to define what it means for a number to be constructible algebraically. Take two line segments with lengths and
. One can then easily construct a line segment with length
.

It’s also straightforward to construct a line segment with length .

We’ve just translated addition and subtraction into geometric construction techniques. It’s also possible to translate multiplication and division into geometric constructions using the intercept theorem.


Starting with a line segment of unit length, one can use addition any number of times to construct a line segment of any integer length. Furthermore, it’s possible to divide two line segments of integer length using the intercept theorem to construct a line segment of any rational length. This means all rational numbers are constructible.

There’s one more operation that I’ve left out so far which can be translated into a geometric construction, and that’s the square root. Given some line segment of length , it’s possible to construct a line segment of length
using the geometric mean theorem.

Hence, we can say that a number is constructible algebraically if it can be expressed as a finite combination of integers using addition, subtraction, multiplication, division, and square roots (of positive numbers, let’s keep it real), and because all these operations have analogous geometric constructions, every algebraically constructible is also geometrically constructible.
The converse is also true. Points can be uniquely defined by coordinates of two numbers (), lines by slope and
-intercept (
), and circles by center and radius (
). There are five ways a geometric object can be added in a construction: by drawing a line through two points, by drawing a circle with center one point through another point, or by creating a point of intersection from two lines, a line and a circle, or two circles.

Finding the values uniquely describing each additional object is just a matter of plugging values uniquely describing existing objects into formulas with nothing but the four basic arithmetic operations and square roots. Thus, if all existing geometric objects in a construction are uniquely described by algebraically constructible numbers, as is true of the base case where there is only a line segment of unit length, then any additional geometric object must also be uniquely described by algebraic numbers.
The length of a constructible line segment must be algebraically constructible for the same reason, and recalling the geometric definition of constructible numbers, all geometrically constructible numbers are lengths of constructible line segments.
Therefore, every geometrically constructible number is also algebraically constructible. The two definitions are equivalent.
The Trigonometric Functions
A regular polygon always has the same number of radii as it does sides. The radii of a regular -gon divide it into
congruent pieces, so the angles between each consecutive radii must all be one
-th of a revolution. For the heptadecagon, this angle is one seventeenth of a revolution, or
radians.

Assume is constructible. Given a line segment of length
, extend the line segment and draw a unit circle with center one of the endpoints of the line segment. Now it’s possible to construct a perpendicular line segment of length
which meets the other endpoint. This allows for the construction of the rest of the heptadecagon as shown bellow. In other words, if
is a constructible number, then the regular heptadecagon is constructible.

Roots of Unity
Let’s look at the equation . You might think that there’s only one solution of this equation:
. After all, it’s the only real solution of our equation. But in the complex plane, there’s more. Seventeen of them, to be exact. For example,
, which I’ll denote with
, yields
when raised to the power of
.
Another solution is , which yields
when raised to the power of
.
In fact, all powers of are solutions of our equation since
for all , and they are known as the seventeenth roots of unity.

This means for all ,
.
Equivalently, for all and for all
,
can be simplified to
if
. Therefore, there are only seventeen unique powers of
, which are all the seventeenth roots of unity.
This brings us to primitive roots. An integer is said to be a primitive root modulo
if, for all
relatively prime to
, there exists some integer
such that
. All positive integers less than
are relatively prime to
, so if there exists some primitive root modulo
, then all integers between
and
inclusive should be congruent to some power of
modulo
. In fact, there are eight primitive roots modulo
, with
being the smallest.
The integers to
form a cyclic group under multiplication modulo
, denoted by
, and
is said to be a generator of
.
Because two powers of are equal if their exponents are congruent modulo
, and because every integer from
to
is congruent to some power of
modulo
, all seventeenth roots of unity except for
can be written as
raised to the power of some power of
.
These roots are said to be primitive because they cannot be raised to the power of a positive integer less than to yield
.
Finding a polynomial whose roots are all the seventeenth roots of unity except for is a simple matter of dividing
by
. Remembering the finite geometric series formula
,
we obtain
.
This is known as the seventeenth cyclotomic polynomial, and it’s easy to see that is one of its roots by viewing the complex numbers as vectors. The sum of all seventeen powers of
should be equal to
due to their rotational symmetry.

Hence, the sum of all seventeenth roots of unity is equal to . Subtracting
from our sum gives us
,
which we can rewrite as
.
Gaussian Periods
If there exists an integer such that
, then
is said to be a quadratic residue modulo
. Otherwise, it is a quadratic nonresidue modulo
. We can split the sum of primitive seventeenth roots of unity into two parts: the sum of all powers of
sans
whose exponents are quadratic residues, and the sum of all powers of
whose exponents are quadratic nonresidues. I’ll denote the former sum with
and the latter sum with
.
It’s obvious that since adding the two sums together gives us the sum of all primitive seventeenth roots of unity again. Solving for
is a bit trickier.
Because each term of and
is a seventeenth root of unity, each term of
should be a product of two seventeenth roots of unity. There are eight terms each in
and
, so
must have sixty-four terms.
The product of two seventeenth roots of unity is, itself, a seventeenth root of unity, so our expression can be simplified as
Where are yet-to-be-determined integers. Replacing
with
, we obtain two new sums, which I’ll call
and
. As it turns out, replacing
with
simply swaps
and
(Remember that
).
This means
,
so
.
Comparing the coefficients of the latter two expressions, we see that
.

They’re all equal to the same integer value, which I’ll call . We can now write
as
.
Because and
are integers,
must be an integer.
is congruent to
modulo
, and since
is a perfect square,
is a quadratic residue modulo
. Let
be a quadratic residue modulo
.
Then must also be a quadratic residue modulo
.
It follows that if is a term of
, then
is also a term of
, and thus, not a term of
. Therefore, no term in
is the reciprocal of a term in
and vice versa. Equivalently, any term of
times any term of
never equals
. Therefore,
.
Remembering that has sixty-four terms, all of which are seventeenth roots of unity, and that
(a sixteen-term expression), one can conclude that
must be equal to
, and because
,
.
and
are examples of Gaussian periods, and they will be of great use when we get to Gauss’s proof of the constructibility of the regular heptadecagon.
The Proof
Imagine and
are the solutions of some quadratic equation
. Then by Vieta’s formulas,
and
. To simplify things, we’ll let
. Now
and
. We know that
and
, so
and
. This means
and
are solutions of the quadratic equation
.
only has two terms in its sum whose real parts are negative, so it will be the positive solution of our quadratic equation.

We can then solve for and
using the quadratic formula.

Define and
from the terms of
such that
and
.

It’s clear that
.
What’s interesting is that
.
Like ,
is a simple integer value. (Exercise for the reader: show that
by employing a similar method used to find
. Don’t use brute force!)
Once again, we can use Vieta’s formulas to find a quadratic equation whose solutions are and
.
We can then use the quadratic formula to solve for and
.
.
Define and
from
such that
and
.

Just as before, we find and
.
.
We can then solve for and
in the same fashion as we did for
and
.
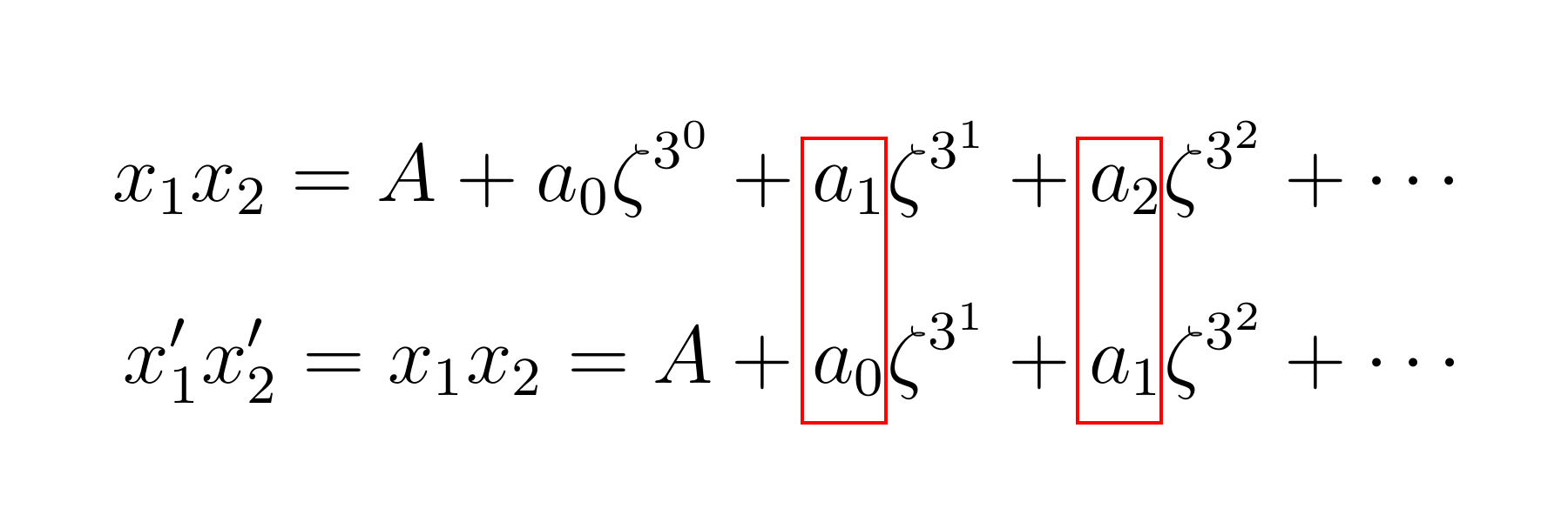
At this point, you probably already know what we’re going to do next. Define and
from
such that
and
.

Solving and
gives us
and
.
We then solve for and
.
Now rewrite as
.

It follows that
.
Consequentially, it can be said that is expressible as a finite number of additions, subtractions, multiplications, divisions, and square roots of integers. In other words,
is a constructible number. Hence, the regular heptadecagon can be constructed in a finite number of steps with just an unmarked straightedge and compass.
Analytic Geometry
Notice how Gauss never actually provided a construction of the regular heptadecagon in order to prove its constructibility. In fact, despite the problem being fundamentally geometric, his proof relied mostly on algebraic methods and reasoning. This is just one example of many which demonstrates the power of analytic geometry, the study of geometry using algebraic methods.
(A side note: Eventually, in 1893, H. W. Richmond provided a truly marvelous construction of the regular heptadecagon based off of Gauss’s result which, unfortunately, I’m too lazy to animate the margin of this blog post is too narrow to contain.)
The Gauss-Wantzel Theorem
In 1798, when he was just 21, Gauss wrote Disquisitiones Arithmeticae, one of the most influential texts in the field of number theory. In its seventh and final section, Gauss gives the criteria that determine the constructibility of all regular polygons. A regular -gon is constructible if
is a power of
greater than
, a Fermat prime, a power of
times a Fermat prime, a product of distinct Fermat primes, or a power of
times a product of distinct Fermat primes. A Fermat prime, by the way, is a prime number of the form
where
is a non-negative integer. Gauss proved that this was a sufficient condition for the constructibility of regular polygons, and in 1837, Pierre Wantzel proved that it was also necessary.
There’s a question that remains unanswered as of 2021: how many Fermat primes are there? So far, we only know of five Fermat primes: ,
,
,
, and
. However, we don’t know if these are the only Fermat primes. They appear to be, given that
are composite, but we can’t say for sure until we prove or disprove the existence of more Fermat primes.
Consequentially, we only know of thirty-one constructible polygons with an odd number of sides. If we find another Fermat prime, however, this number would jump up to sixty-three, and if we prove that there are an infinite number of Fermat primes, then we could conclude that there are an infinite number of constructible polygons with an odd number of sides. If, however, there are only five Fermat primes, then there are only thirty-one constructible polygons with an odd number of sides.
Sources and Additional Reading
https://en.wikipedia.org/wiki/Straightedge_and_compass_construction
https://en.wikipedia.org/wiki/Constructible_polygon
https://mathworld.wolfram.com/ConstructiblePolygon.html
https://en.wikipedia.org/wiki/Heptadecagon
https://en.wikipedia.org/wiki/Constructible_number
https://mathworld.wolfram.com/ConstructibleNumber.html
https://en.wikipedia.org/wiki/Root_of_unity
https://brilliant.org/wiki/roots-of-unity/
https://brilliant.org/wiki/primitive-roots-of-unity/
https://en.wikipedia.org/wiki/Primitive_root_modulo_n
https://mathworld.wolfram.com/PrimitiveRoot.html
https://brilliant.org/wiki/primitive-roots/
https://en.wikipedia.org/wiki/Cyclotomic_polynomial
https://crypto.stanford.edu/pbc/notes/numbertheory/cyclo.html
https://en.wikipedia.org/wiki/Gaussian_period
https://crypto.stanford.edu/pbc/notes/numbertheory/gaussperiod.html
https://crypto.stanford.edu/pbc/notes/numbertheory/qr.html
https://crypto.stanford.edu/pbc/notes/numbertheory/17gon.html
https://gdz.sub.uni-goettingen.de/id/PPN235993352
https://en.wikipedia.org/wiki/Analytic_geometry
https://www.britannica.com/science/analytic-geometry